COA Center
MSDS Center

COA Center

OR

MSDS/SDS Center

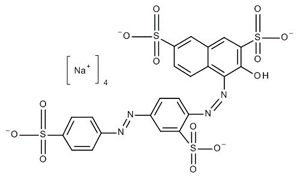
PONCEAU S For Electrophoresis

C.I.No.27195 It is used to prepare a stain for rapid reversible detection of protein bands on nitrocellulose or polyvinylidene fluoride membranes (Western blotting), as well as on cellulose acetate membranes.
Acid Red 112, 3-Hydroxy-4-(2-sulfo-4-[4-sulfophenylazo]phenylazo)-2,7-naphthalenedisulfonic acid sodium salt

Packings

25 g (00025)

100 g (00100)

1PB1200060 1PB1200100
Article No. 05319 Grade For Electrophoresis
Purity CAS No. 6226-79-5
Molecular Formula C22H12N4Na4O13S4 Molecular Weight 760.56
H.S. Code 3204.9000 Shelf Life 60 Months

Physical Properties

Physical state at 20 °C Solid Colour Dark red crystalline
Odour Characteristic odour pH value 9 at 10 g/l at 20 °C
Solubility in water [% weight] Soluble in water

Specifications

Appearance A dark red crystalline powder Absorption maxima in water 517 - 523 nm
Specific absorptivity 1%/1cm (at λmax) Min 460 Loss on drying (at 110°C) Max 10%
Suitability (for electrophoresis) Passes test

Safety Information and Hazard Symbols

Exclamation Mark
Symbol: GHS07
Signal Word: Warning
Hazardous Statement: H315-H319-H335
Precaution Statement: P261-P305 + P351 + P338
Revision Date: 26-Aug-2014

Download MSDS & COA on your Mobile through LOBACHEMIE APP