COA Center
MSDS Center

COA Center

OR

MSDS/SDS Center

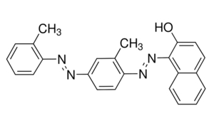
SUDAN IV For Microscopy

C.I.No.26105 It is used to colour nonpolar substances like oils, fats, waxes, greases, various hydrocarbon products, and acrylic emulsions.
Sudan R, Solvent Red 24, Lipid Crimson, Oil Red, Oil Red BB, Fat Red B, Oil Red IV, Scarlet Red, , Scarlet Red Scharlach, Scarlet R

Packings

10 g (00010)

25 g (00025)

100 g (00100)

1PB1200060 1PB1200100 1PB1200500
Article No. 06162 Grade For Microscopy
Purity CAS No. 85-83-6
Molecular Formula C24H20N4O Molecular Weight 380.45
H.S. Code 3204.9000 Shelf Life 60 Months

Physical Properties

Physical state at 20 °C Solid Colour Dark red powder
Odour Odorless Melting point/ Freezing point [°C] 199 °C
Solubility in water [% weight] Insoluble in water

Specifications

Appearance Dark red powder Absorption maxima 519 - 523 nm
Absorptivity (A 1%/1cm; at λmax) Min 600 Loss on drying (at 135°C) Max 3%
Revision Date: 06-Apr-2021

Download MSDS & COA on your Mobile through LOBACHEMIE APP