COA Center
MSDS Center
COA Center
OR
MSDS/SDS Center
Deutsch
English
French
Korean
Portuguese
Spanish
Thai
Turkish
Advanced Search
Chemicals
Lab Chemicals by Category
Lab Chemicals by Application
Advanced Search
COA Center
MN Filter
Filtration
Rapid Tests
Chromatography
Company Profile
History
Vision, Values, Commitment
From the Chairman’s Desk
What We Offer
Corporate Presentation
Privacy Policy
Manufacturing
Overview
Facility Tour
Certification
EHS
Our Integrated Management System
Support
Catalogs & Price Lists
Product Brochures
Packings
Contact Us
Find a Dealer
Safety Tips
Storage Practices
Categorical Storage
Recommendations
Resources
Hazard Symbols
GHS Labeling
Precautionary Statements
Hazard Statements
Conversion Charts
Fractions
Particle Size
Periodic Table
MGT-7 Form
Photo Gallery
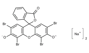
EOSIN YELLOW For Microscopy
C.I.No.45380 It can be used to stain cytoplasm, collagen and muscle fibers for examination under the microscope.
Eosin Y
MSDS
DE
EN
FR
KO
PT
ES
TH
TR
COAs
Packings
25 g
(00025)
100 g
(00100)
500 g
(00500)
Print friendly version
Article No.
03660
Grade
For Microscopy
Purity
90% dye content
CAS No.
17372-87-1
Molecular Formula
C
2
0
H
6
Br
4
Na
2
O
5
Molecular Weight
691.88
H.S. Code
3204.9000
Shelf Life
60 Months
Physical Properties
Physical state at 20 °C
Solid
Colour
Brownish red
Density [g/cm3]
1.018 g/cm3
Specifications
Appearance
Brownish red fine powder
Absorption maxima
515 - 518 nm
Dye content (by spectrophotometry)
Min 90%
Solubility (0.1% in water)
Clear solution
Absorptivity (A 1%/1cm; at λmax; in water)
1200 - 1400
Loss on drying (at 110°C)
Max 8%
Copper (Cu)
Max 0.005%
Iron (Fe)
Max 0.005%
Nickel (Ni)
Max 0.005%
Lead (Pb)
Max 0.005%
Suitability (for microscopy)
Passes test
Safety Information and Hazard Symbols
Symbol: GHS07
Signal Word: Warning
Hazardous Statement: H319
Precaution Statement: P305 + P351 + P338
Revision Date:
01-Apr-2021
Home
Lab Chemicals
Biological Stains and Dyes
EOSIN YELLOW