COA Center
MSDS Center
COA Center
OR
MSDS/SDS Center
Deutsch
English
French
Korean
Portuguese
Spanish
Thai
Turkish
Advanced Search
Chemicals
Lab Chemicals by Category
Lab Chemicals by Application
Advanced Search
COA Center
MN Filter
Filtration
Rapid Tests
Chromatography
Company Profile
History
Vision, Values, Commitment
From the Chairman’s Desk
What We Offer
Corporate Presentation
Privacy Policy
Manufacturing
Overview
Facility Tour
Certification
EHS
Our Integrated Management System
Support
Catalogs & Price Lists
Product Brochures
Packings
Contact Us
Find a Dealer
Safety Tips
Storage Practices
Categorical Storage
Recommendations
Resources
Hazard Symbols
GHS Labeling
Precautionary Statements
Hazard Statements
Conversion Charts
Fractions
Particle Size
Periodic Table
MGT-7 Form
Photo Gallery
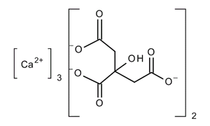
CALCIUM CITRATE TETRAHYDRATE Extra Pure
Confirms to USP
Tricalcium dicitrate tetrahydrate
MSDS
DE
EN
FR
KO
PT
ES
TH
TR
COAs
Packings
500 g
(00500)
Print friendly version
Article No.
02467
Grade
Extra Pure
Purity
97%
CAS No.
5785-44-4
Molecular Formula
C
1
2
H
1
0
Ca
3
O
1
4
.4H
2
O
Molecular Weight
570.50
H.S. Code
2918.1590
Shelf Life
60 Months
Physical Properties
Physical state at 20 °C
Solid
Colour
White
pH value
5.0-6.0 (25g/l, H2O; 20°C)
Solubility in water [% weight]
0.85 g/l (18°c)
Specifications
Appearance
White crystalline powder
Assay (on anhydrous basis)
97.5-100.5%
Identification A & B as per USP
Passes test
Loss on drying (at 150°C)
10.0-13.3%
Arsenic (As)
Max.0.0003%
Fluoride (F)
Max.0.003%
Heavy metal (as Pb)
Max.0.002%
Acid insoluble matter
Max.0.2%
Lead (Pb)
Max.0.001%
Revision Date:
30-Dec-2014
Home
Lab Chemicals
Laboratory Chemicals
CALCIUM CITRATE TETRAHYDRATE