COA Center
MSDS Center
COA Center
OR
MSDS/SDS Center
Deutsch
English
French
Korean
Portuguese
Spanish
Thai
Turkish
Advanced Search
Chemicals
Lab Chemicals by Category
Lab Chemicals by Application
Advanced Search
COA Center
MN Filter
Filtration
Rapid Tests
Chromatography
Company Profile
History
Vision, Values, Commitment
From the Chairman’s Desk
What We Offer
Corporate Presentation
Privacy Policy
Manufacturing
Overview
Facility Tour
Certification
EHS
Our Integrated Management System
Support
Catalogs & Price Lists
Product Brochures
Packings
Contact Us
Find a Dealer
Safety Tips
Storage Practices
Categorical Storage
Recommendations
Resources
Hazard Symbols
GHS Labeling
Precautionary Statements
Hazard Statements
Conversion Charts
Fractions
Particle Size
Periodic Table
MGT-7 Form
Photo Gallery
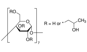
(2-HYDROXYPROPYL)-b -CYCLODEXTRIN (HPBCD)
MSDS
DE
EN
FR
KO
PT
ES
TH
TR
COAs
Packings
25 g
(00025)
100 g
(00100)
Print friendly version
Article No.
4145G
Grade
Purity
CAS No.
128446-35-5
Molecular Formula
(C
6
H
9
O
5
)
7
(C
3
H
7
O)
Molecular Weight
1541.6
H.S. Code
2940.0000
Shelf Life
36 Months
Specifications
Appearance
White to beige powder
Specific rotation (a)20/D (C,1H2O)
+120° to + 135°
Loss on drying
Max 10.0% w/w
Revision Date:
01-Apr-2021
Home
Lab Chemicals
Laboratory Chemicals
(2-HYDROXYPROPYL)-b -CYCLODEXTRIN (HPBCD)